Solve this following

Question:

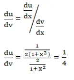
Differentiate $\tan ^{-1}\left(\frac{\sqrt{1+x^{2}}-1}{x}\right)$ with respect to $\sin ^{-1}\left(\frac{2 x}{1+x^{2}}\right)$

Solution:

$1-\sin \theta=\left(\cos \frac{\theta}{2}-\sin \frac{\theta}{2}\right)^{2}$

Leave a comment