Solve this following

Question:

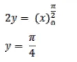
Prove that

$\int_{0}^{\pi / 2} \frac{\sqrt{\cot x}}{(\sqrt{\tan x}+\sqrt{\cot x})} d x=\frac{\pi}{4}$

Solution:

Leave a comment