Solve this following

Question:

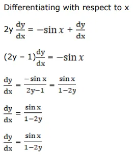
If $y=\sqrt{\cos x+\sqrt{\cos x+\sqrt{\cos x}+\ldots \infty}}$, prove that $\frac{d y}{d x}=\frac{\sin x}{(1-2 y)}$

Solution:

 

Leave a comment