Solve this following

Question:

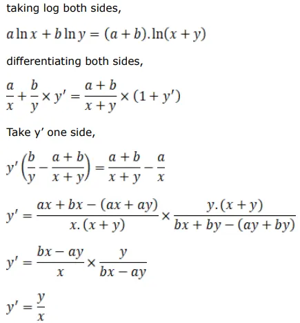
If $\mathrm{x}^{\mathrm{a}} \mathrm{y}^{\mathrm{b}}=(\mathrm{x}+\mathrm{y})^{(\mathrm{a}+\mathrm{b})}$, prove that $\frac{\mathrm{dy}}{\mathrm{dx}}=\frac{\mathrm{y}}{\mathrm{x}}$

Solution:

Leave a comment