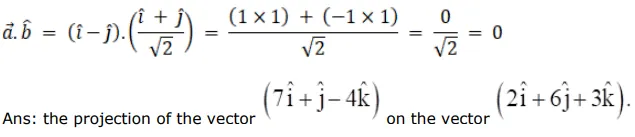
Write the projection of the vector $(\hat{i}-\hat{j})$ on the vector $(\hat{i}+\hat{j})$
Share via...
Or copy link
Leave a comment
All Study Material