Mark $(\sqrt{)}$ against the correct answer in the following:
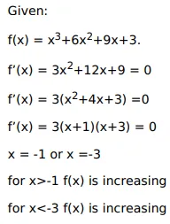
The function $f(x)=x^{3}+6 x^{2}+9 x+3$ is decreasing for
A. $1 B. $x>1$ C. $x<1$ D. $x<1$ or $x>3$
B. $x>1$
C. $x<1$
D. $x<1$ or $x>3$
But for $-1
Leave a comment
All Study Material