Solve this following

Question:

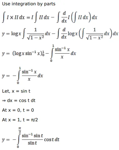
Prove that

$\int_{0}^{1} \frac{\log x}{\sqrt{1-x^{2}}} d x=-\frac{\pi}{2}(\log 2)$

Solution:

Leave a comment