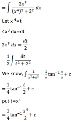
Question:
Mark $(\sqrt{)}$ against the correct answer in each of the following:
$\int \frac{2 x^{3}}{\left(4+x^{8}\right)} d x=?$
A. $\frac{1}{2} \tan ^{-1} \frac{x^{4}}{2}+C$
B. $\frac{1}{4} \tan ^{-1} \frac{x^{4}}{2}+C$
C. $\frac{1}{2} \tan ^{-1} x^{4}+C$
D. none of these
Solution:
