Solve this following

Question:

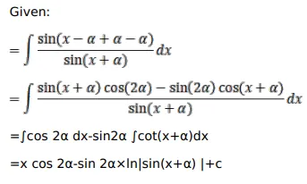
Evaluate:

$\int \frac{\sin (x-\alpha)}{\sin (x+\alpha)} d x$

Ans. $x \cos 2 \alpha-\sin 2 \alpha \cdot \log |\sin (x+\alpha)|+C$

Solution:

 

Leave a comment