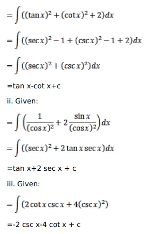
Solve this following

Question:

Evaluate:

i. $\int(\tan x+\cot x)^{2} d x$

ii. $\int\left(\frac{1+2 \sin x}{\cos ^{2} x}\right) d x$

iii. $\int\left(\frac{3 \cos x+4}{\sin ^{2} x}\right) d x$

Solution:

i. Given:

Leave a comment