Solve this following

Question:

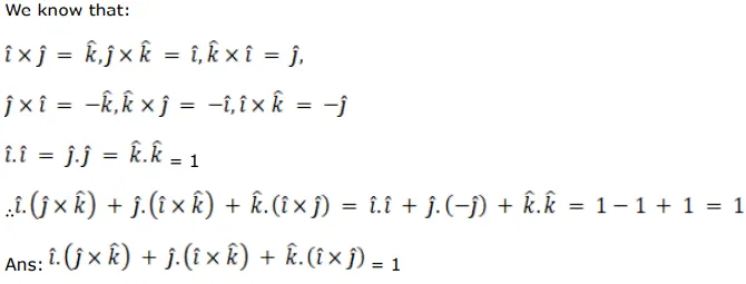
Write the value of

$\hat{\mathrm{i}} \cdot(\hat{\mathrm{j}} \times \hat{\mathrm{k}})+\hat{\mathrm{j}} \cdot(\hat{\mathrm{i}} \times \hat{\mathrm{k}})+\hat{\mathrm{k}} \cdot(\hat{\mathrm{i}} \times \hat{\mathrm{j}})$

Solution:

Leave a comment