Question:
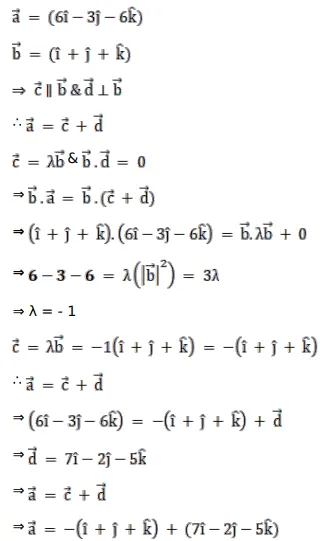
Express the vector $\overrightarrow{\mathrm{a}}=(6 \hat{\mathrm{i}}-3 \hat{\mathrm{j}}-6 \hat{\mathrm{k}})$ as sum of two vectors such that one is parallel to the vector
$\overrightarrow{\mathrm{b}}=(\hat{\mathrm{i}}+\hat{\mathrm{j}}+\hat{\mathrm{k}})$ and the other is perpendicular to $\overrightarrow{\mathrm{b}}$.
Solution:

