Solve this following

Question:

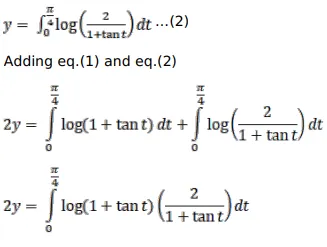
Prove that

$\int_{0}^{1} \frac{\log (1+x)}{\left(1+x^{2}\right)} d x=\frac{\pi}{8}(\log 2)$

Solution:

Leave a comment