Solve this following

Question:

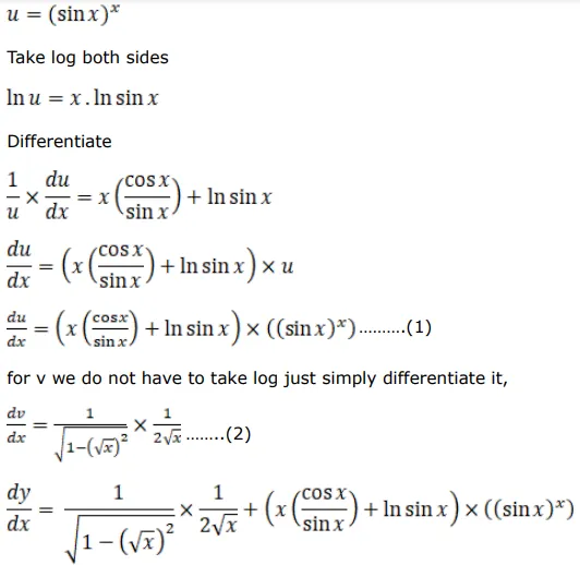
Find $\frac{d y}{d x}$, when:

$y=(\sin x)^{x}+\sin ^{-1} \sqrt{x}$

Solution:

Leave a comment