Solve this following

Question:

Evaluate:

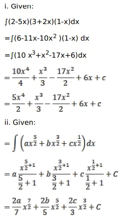
i. $\int(2-5 x)(3+2 x)(1-x) d x$

ii. $\int \sqrt{x}\left(a x^{2}+b x+c\right) d x$

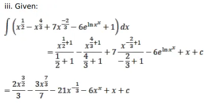
iii. $\int\left(\sqrt{x}-\sqrt[3]{x^{4}}+\frac{7}{\sqrt[3]{x^{2}}}-6 x^{x}+1\right) d x$

Solution:

Leave a comment