Solve this following

Question:

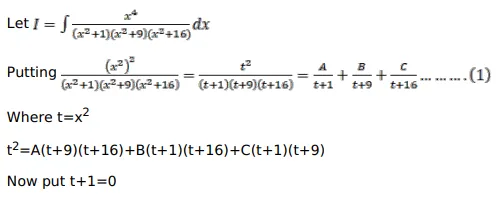
$\int \frac{x^{4}}{\left(x^{2}+1\right)\left(x^{2}+9\right)\left(x^{2}+16\right)} d x$

Solution:

Leave a comment