Solve this following

Question:

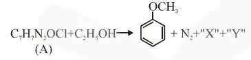
In the above reaction, the structural formula of (A), "X" and "Y" respectively are :

 


Correct Option: 1

Solution:

Leave a comment