Solve this following
Question:
Mark $(\sqrt{)}$ against the correct answer in each of the following:
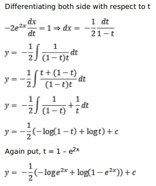
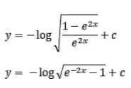
$\int \frac{\mathrm{dx}}{\left(1-\mathrm{e}^{2 \mathrm{x}}\right)}=?$
A. $\log \left|e^{x}+\sqrt{e^{2 x}-1}\right|+C$
B. $\log \left|e^{-x}+\sqrt{e^{-2 x}-1}\right|+C$
C. $-\log \left|e^{-x}+\sqrt{e^{-2 x}-1}\right|+C$
D. none of these
Solution:

