Solve this following
Question:
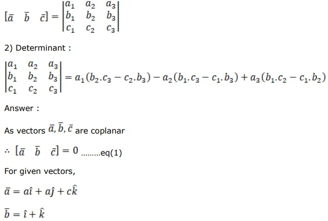
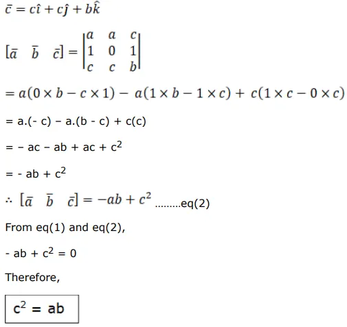
If the vectors $(a \hat{i}+a \hat{j}+c \hat{k}),(\hat{i}+\hat{k})$ and $(c \hat{\mathrm{i}}+\mathrm{c} \hat{\mathrm{j}}+\mathrm{b} \hat{\mathrm{k}})$ be coplanar, show that $c^{2}=a b .$
Solution:



