Question:
Mark $(\sqrt{)}$ against the correct answer in each of the following:
$\int \frac{x^{2}}{\sqrt{x^{6}+2 x^{3}+3}} d x=?$
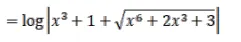
A. $\frac{1}{3} \log \left|\left(x^{3}+1\right)+\sqrt{x^{6}+2 x^{3}+3}\right|+C$
B. $\log \left|x^{3}+\sqrt{x^{6}+2 x^{3}+3}\right|+C$
C. $\frac{1}{3} \log \left|\left(x^{3}+1\right)-\sqrt{x^{6}+2 x^{3}+3}\right|+C$
D. none of these
Solution:

