Question:
Mark $(\sqrt{)}$ against the correct answer in each of the following:
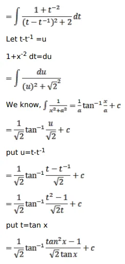
$\int \frac{d x}{\left(\sin ^{4} x+\cos ^{4} x\right)}=?$
A. $\frac{1}{\sqrt{2}} \tan ^{-1}\left(\frac{\tan ^{2} x-1}{\sqrt{2} \tan x}\right)+C$
B. $\frac{1}{\sqrt{2}} \tan ^{-1}\left(\frac{\tan ^{2} x-1}{\tan x}\right)+C$
C. $\frac{1}{\sqrt{2}} \tan ^{-1}\left(\frac{1}{\sqrt{2} \tan x}\right)+C$
D. None of these
Solution:

