Question:
Mark $(\sqrt{ })$ against the correct answer in each of the following:
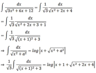
$\int \frac{\mathrm{dx}}{\sqrt{3 \mathrm{x}^{2}+6 \mathrm{x}+12}}=?$
A. $\log \left|(x+1)+\sqrt{x^{2}+2 x+4}\right|+C$
B. $\frac{1}{3} \log \left|(x+1)+\sqrt{x^{2}+2 x+4}\right|+C$
C. $\frac{1}{\sqrt{3}} \log \left|(x+1)+\sqrt{x^{2}+2 x+4}\right|+C$
D. none of these
Solution:
