Solve this following

Question:

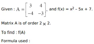
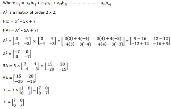
If $A=\left[\begin{array}{cc}3 & 4 \\ -4 & -3\end{array}\right]$, find $f(A)$, where $f(x)=x 2-5 x+7$

Solution:

Leave a comment