Solve this following

Question:

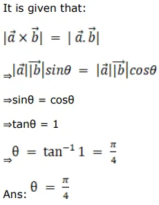
If $\theta$ is the angle between $\vec{a}$ and $\vec{b}$, and  $|\vec{a} \cdot \vec{b}|=|\vec{a} \times \vec{b}|$ then what is the value of $\theta$ ?

Solution:

Leave a comment