Question:
Mark $(\sqrt{)}$ against the correct answer in each of the following:
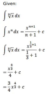
$\int \sqrt[3]{x} d x=?$
A. $\frac{3}{4} \mathrm{x}^{3 / 4}+\mathrm{C}$
B. $\frac{4}{3} \mathrm{x}^{3 / 4}+\mathrm{C}$
C. $\frac{3}{4} x^{4 / 3}+C$
D. $\frac{4}{3} \mathrm{x}^{4 / 3}+\mathrm{C}$
Solution:
