Solve this following
Question:
Mark $(\sqrt{ })$ against the correct answer in each of the following:
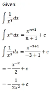
$\int \frac{1}{x^{3}} d x=?$
A. $\frac{-3}{\mathrm{x}^{2}}+\mathrm{C}$
B. $\frac{-1}{2 \mathrm{x}^{2}}+\mathrm{C}$
C. $\frac{-1}{3 \mathrm{x}^{2}}+\mathrm{C}$
D. $\frac{\mathrm{x}^{-2}}{2}+\mathrm{C}$
Solution:
