Solve this following

Question:

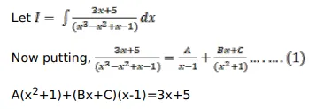
Evaluate:

$\int \frac{(3 x+5)}{\left(x^{3}-x^{2}+x-1\right)} d x$

Solution:

Leave a comment