Solve this following

Question:

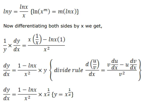
Find $\frac{d y}{d x}$, when:

[]$_{y}=x^{1 / x}$

Solution:

Here, we need to take log both the sides to get that differentiation simple.

Leave a comment