Solve this following

Question:

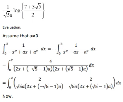
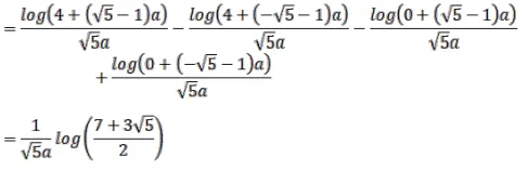
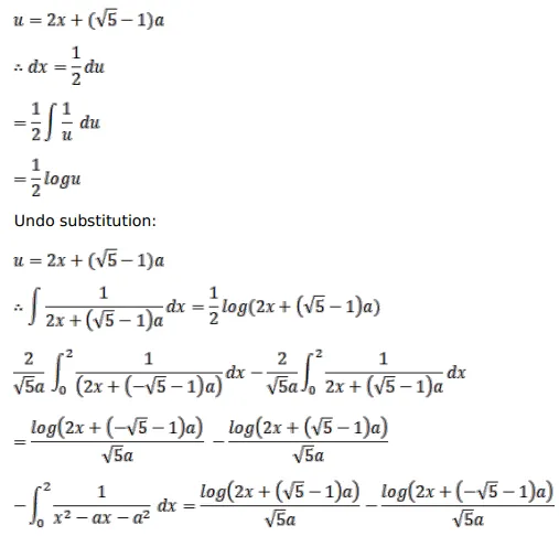
Evaluate:

$\int_{0}^{a} \frac{d x}{\left(a x+a^{2}-x^{2}\right)}$

Solution:

Leave a comment