Question: Mark $(\sqrt{ })$ against the correct answer in each of the following:
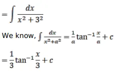
$\int \frac{d x}{\left(9+x^{2}\right)}=?$
A. $\tan ^{-1} \frac{x}{3}+C$
B. $\frac{1}{3} \tan ^{-1} \frac{\mathrm{x}}{3}+\mathrm{C}$
C. $3 \tan ^{-1} \frac{x}{3}+C$
D. none of these
Solution:
