Solve this following

Question:

Evaluate the following integrals:

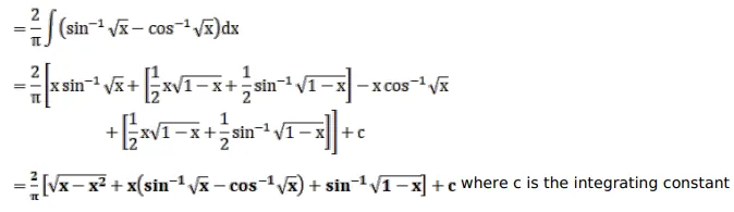
$\int\left(\frac{\sin ^{-1} \sqrt{x}-\cos ^{-1} \sqrt{x}}{\sin ^{-1} \sqrt{x}+\cos ^{-1} \sqrt{x}}\right) d x$

Solution:

Leave a comment