Solve this following

Question:

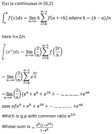
Evaluate each of the following integrals as the limit of sums:

$\int_{0}^{2} e^{x} d x$

Solution:

Leave a comment