Solve this following

Question:

Mark $(\sqrt{)}$ against the correct answer in each of the following:

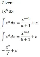
$\int x^{6} d x=?$

A. $7 x^{7}+C$

B. $\frac{x^{7}}{7}+C$

C. $6 \mathrm{x}^{5}+\mathrm{C}$

D. $6 \mathrm{x}^{7}+\mathrm{C}$

Solution:

Leave a comment