Question:
Mark $(\sqrt{ })$ against the correct answer in each of the following:
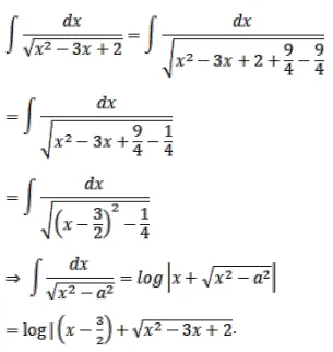
$\int \frac{d x}{\sqrt{x^{2}-3 x+2}}=?$
A. $\log \left|\left(x-\frac{3}{2}\right)+\sqrt{x^{2}-3 x+2}\right|+C$
B. $\log \left|x+\sqrt{x^{2}-3 x+2}\right|+C$
C. $\log \left|x-\sqrt{x^{2}-3 x+2}\right|+C$
D. none of these
Solution:
