Solve this following

Question:

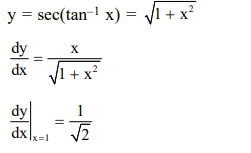
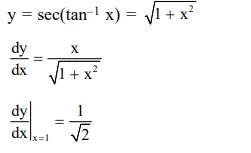
If $y=\sec \left(\tan ^{-1} x\right)$, then $\frac{d y}{d x}$ at $x=1$ is equal to :

  1. $\frac{1}{\sqrt{2}}$

  2. $\frac{1}{2}$

  3. 1

  4. $\sqrt{2}$


Correct Option: , 4

Solution:

Leave a comment