Solve this following

Question:

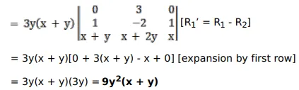
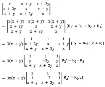
Using properties of determinants prove that:

$\left|\begin{array}{ccc}x & x+y & x+2 y \\ x+2 y & x & x+y \\ x+y & x+2 y & x\end{array}\right|=9 y^{2}(x+y)$

Solution:

Leave a comment