Solve this following

Question:

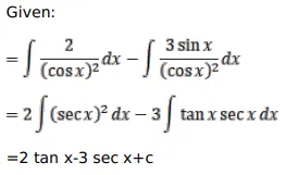
Evaluate:

$\int\left\{\frac{2-3 \sin x}{\cos ^{2} x}\right\} d x$

Ans. $2 \tan x-3 \sec x+C$

Solution:

Leave a comment