Solve this following
Question:
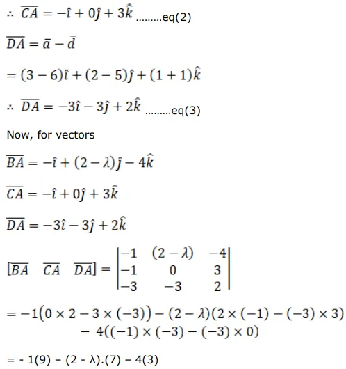
Find the value of $\lambda$ for which the points $A(3,2,1), B(4, \lambda, 5), C(4,2,-2)$ and $D(6,5,-1)$ are coplanar.
Solution:






$=-9-14+7 \lambda-12$
