Question: Mark $(\sqrt{ })$ against the correct answer in each of the following:
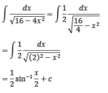
$\int \frac{d x}{\sqrt{16-4 x^{2}}}=?$
A. $\frac{1}{2} \sin ^{-1} \frac{x}{2}+C$
B. $\frac{1}{4} \sin ^{-1} \frac{x}{2}+C$
C. $\frac{1}{2} \sin ^{-1} \frac{x}{4}+C$
D. none of these
Solution:
