Solve this following

Question:

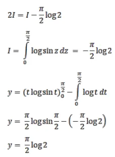
Prove that

$\int_{0}^{1}\left(\frac{\sin ^{-1} x}{x}\right) d x=\frac{\pi}{2}(\log 2)$

Solution:

Leave a comment