Solve this following

Question:

Find, when:

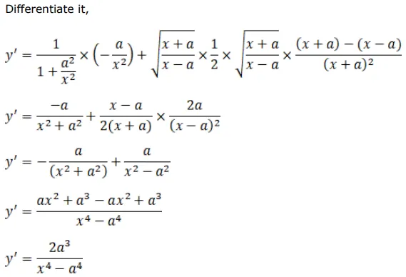
If $y=\tan ^{-1} \frac{a}{x}+\log \sqrt{\frac{x-a}{x+a}}$, prove that $\frac{d y}{d x}=\frac{2 a^{3}}{\left(x^{4}-a^{4}\right)}$

Solution:

Leave a comment