Solve this following

Question:

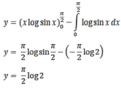
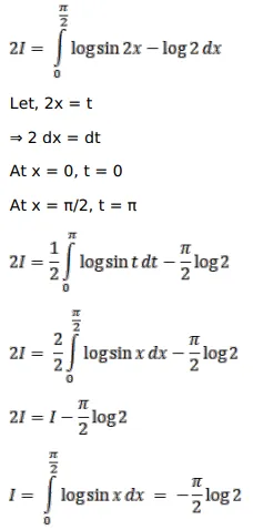
Prove that

$\int_{0}^{\pi / 2} x \cot x d x=\frac{\pi}{4}(\log 2)$

Solution:

Leave a comment