Solve this following

Question:

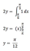
Prove that

$\int_{\pi / 6}^{\pi / 3} \frac{1}{(1+\sqrt{\tan x})} d x=\frac{\pi}{12}$

Solution:

Leave a comment