Solve this following

Question:

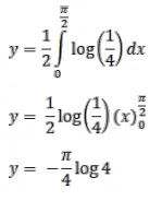
Prove that

$\int_{0}^{\pi / 2}(2 \log \cos x-\log \sin 2 x) d x=-\frac{\pi}{4}(\log 2)$

Solution:

Leave a comment