Solve this following
Question:
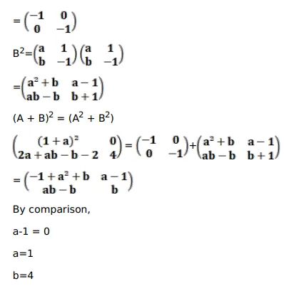
If $A=\left(\begin{array}{cc}1 & -1 \\ 2 & -1\end{array}\right)$ and $B=\left(\begin{array}{cc}a & 1 \\ b & -1\end{array}\right)$ and
$(A+B)^{2}=\left(A^{2}+B^{2}\right)$ then
A. $a=2, b=-3$
B. $a=-2, b=3$
C. $a=1, b=4$
D. none of these
Solution:

