Question:
Mark $(\sqrt{ })$ against the correct answer in each of the following:
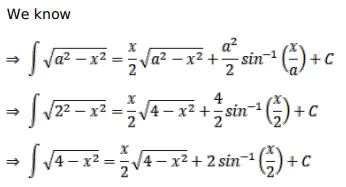
$\int \sqrt{4-x^{2}} d x=?$
A. $\frac{x}{2} \sqrt{4-x^{2}}+2 \sin ^{-1} \frac{x}{2}+C$
B. $x \sqrt{4-x^{2}}+\sin ^{-1} \frac{x}{2}+C$
C. $\frac{1}{2} x \sqrt{4-x^{2}}-2 \sin ^{-1} \frac{x}{2}+C$
D. none of these
Solution:
