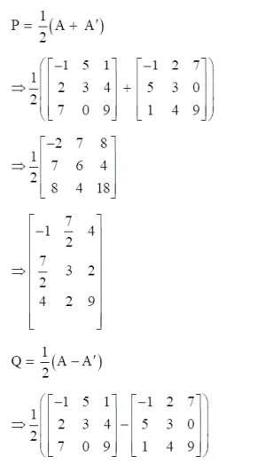
Question: Express the matrix $A=\left[\begin{array}{ccc}-1 & 5 & 1 \\ 2 & 3 & 4 \\ 7 & 0 & 9\end{array}\right]$ as the sum of a symmetric and a skew-symmetric matrix.
Solution:




$A=\left[\begin{array}{ccc}-1 & 5 & 1 \\ 2 & 3 & 4 \\ 7 & 0 & 9\end{array}\right]$