Solve this following

Question:

Evaluate:

i. $\int\left(\frac{x^{2}-1}{x^{2}+1}\right) d x$

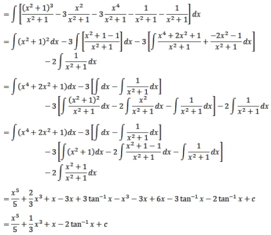
ii. $\int\left(\frac{x^{6}-1}{x^{2}+1}\right) d x$

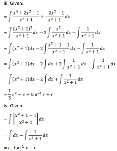
iii. $\int\left(\frac{x^{4}}{1+x^{2}}\right) d x$

iv. $\int\left(\frac{x^{2}}{1+x^{2}}\right) d x$

Solution:

Leave a comment