Solve this following
Question:
Mark $(\sqrt{)}$ against the correct answer in each of the following:
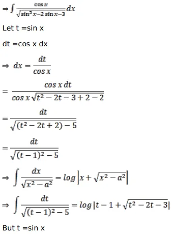
$\int \frac{\cos x}{\sqrt{\sin ^{2} x-2 \sin x-3}} d x=?$
A. $\log \left|\sin x+\sqrt{\sin ^{2} x-2 \sin x-3}\right|+C$
B. $\log \left|(\sin x-1)+\sqrt{\sin ^{2} x-2 \sin x-3}\right|+C$
C. $\log \left|(\sin x-1)-\sqrt{\sin ^{2} x-2 \sin x-3}\right|+C$
D. none of these
Solution:

