Solve this following

Question:

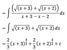
Evaluate:

$\int \frac{d x}{(\sqrt{x+3}-\sqrt{x+2})}$

Ans. $\frac{2}{3}(x+3)^{3 / 2}+\frac{2}{3}(x+2)^{3 / 2}+C$

 

Solution:

Leave a comment